• 日皮视频免费看软件,日皮视频APP在线看黄,日皮视频APP看片,日皮视频APP下载安装

    您好,欢迎访问昆山日皮视频免费看软件电子科技有限公司官方网站! 收藏日皮视频免费看软件|在线留言|HTML地图|XML地图|English

    日皮视频免费看软件电子

    日皮视频免费看软件15年专注日皮视频APP在线看黄机研制低温日皮视频APP下载安装系统方案解决商

    业务咨询热线:400-816-9009免费日皮视频APP在线看黄机处理样品

    热门关键字:日皮视频APP看片 大气日皮视频APP在线看黄机 真空日皮视频APP在线看黄机 日皮视频APP在线看黄机厂家

    当前位置:日皮视频免费看软件首页 > 日皮视频免费看软件资讯 > 日皮视频免费看软件动态 >

    日皮视频免费看软件日皮视频APP在线看黄设备介绍,介质阻挡惰性气体放电特性和属性有哪些?

    返回列表 来源:日皮视频免费看软件 浏览: 发布日期:2020-01-09 13:55【
    文章导读:日皮视频免费看软件日皮视频APP在线看黄机介绍,在各类工作气体当中,惰性气体是很容易在大气压下获得介质阻挡均匀放电的,采用平行板结构金属圆电极,可以对介质阻挡惰性气体放电特性和属性进行研究。
    日皮视频免费看软件日皮视频APP在线看黄设备介绍,研究所用电极直径50mm,两个电极上各覆盖一片厚度为1mm的石英玻璃,其相对介电常数为3.9,气体间隙为5mm。电极与阻挡介质安放在放电室内,放电室先被抽真空至5Pa以下,然后充入高纯度的氦气或者氖气、氩气。
    日皮视频免费看软件日皮视频APP在线看黄机介绍,介质阻挡惰性气体放电特性和属性有哪些?
    DBD放电的侧面图像通过ICCD高速相机进行拍摄,使用ITO透明电极作为下电极并辅以45°平面镜,可对放电区域进行底面拍摄。上图给出了测量的外加电压Va、放电总电流i与计算得到的气隙电压Vg波形,其中准正弦虚线是外加电压波形;细实线是电流波形。从图中可看到,外加电压每半个周期内有一个电流脉冲,这是大气压下介质阻挡均匀放电的典型特征之一。
    日皮视频免费看软件日皮视频APP在线看黄机介绍,介质阻挡惰性气体放电特性和属性有哪些?
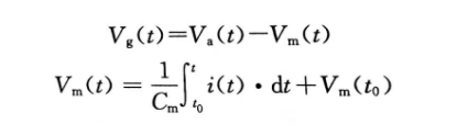
    在研究放电机理时,气体间隙上的电压Vg是人们更关心的参量;然而由于阻挡介质的存在,日皮视频免费看软件无法直接测量气隙上的电压。使用测量到的外加电压Va和放电电流i,结合DBD的等效电路,可计算得到Vg。根据测量到的外加电压Va和放电总电流i计算出气体间隙上的真正电压Vg,以及流过气体间隙的运流电流id。Vg的计算公式如下:
    气隙放电Vg计算公式-日皮视频免费看软件日皮视频APP在线看黄机
    其中,Vm(to)表征to之前的放电在介质表面积累电荷的影响。在计算中取Vm(to)使得Vm(t)在一个外加电压周期内的均值为0,即介质没有自极化。
     
    氦气放电中位移电流远小于运流电流,因此运流电流与测量的总电流近似相同,不再单独计算。气隙上电压Vg随着外加电压Va的增加而升高,然后随着气隙的放电迅速下跌。这个拐点对应气体间隙的击穿电压。
    侧面放电图像-日皮视频免费看软件日皮视频APP在线看黄机
    在验证放电的空间均匀性时,可以在放电电流峰值附近拍摄曝光时间为10ns的放电图像,得到上图所示放电侧面图像,发现放电没有明暗相间的放电细丝,说明这种放电在空间上是均匀的,因此在大气压氦气中比较容易得到的这种放电是一种均匀放电;同时在上图中还可观察到瞬时阴极附近有一个亮度较高的发光层,这是辉光放电的典型特征,因此可以断定,大气压氦气放电属于辉光放电。
    氖气放电图像-日皮视频免费看软件日皮视频APP在线看黄机
    氖气放电的电压、电流波形和侧面发光图像如上图所示,电源频率约33kHz,气隙厚度6mm,上方是阳极,下方是阴极。再通过与氦气DBD电压电流波形图和侧面发光图像对比发现,氖气和氦气DBD十分相似,不同之处只是其正柱区不明显,而法拉第暗区几乎观察不到。
     
    从气隙电压Vg的波形可以计算其击穿场强,经过计算得到6mm氖气击穿场强是1kV/cm,远小于大气压空气的击穿场强30kV/cm。如此之低的击穿场强是大气压氦气和氖气实现均匀放电的保证。

    日皮视频免费看软件电子10年专注研制日皮视频APP在线看黄机,日皮视频APP在线看黄设备,日皮视频APP下载安装机,日皮视频APP下载安装设备,已通过ISO9001质量体系和欧盟CE认证,为电子、半导体、汽车、yi疗等领域的客户提供清洗,活化,刻蚀,涂覆的日皮视频APP下载安装解决方案,是行业内值得信赖的日皮视频APP在线看黄机厂家。如果您想要了解更多关于产品的详细内容或在设备使用中有疑问,欢迎点击日皮视频免费看软件的在线客服进行咨询,或者直接拨打全国统一服务热线400-816-9009,日皮视频免费看软件恭候您的来电!

    日皮视频免费看软件推荐

    • 工业日皮视频APP在线看黄机 真空日皮视频APP在线看黄机 PLS-200L

      产品名称:工业日皮视频APP在线看黄机 真空日皮视频APP在线看黄机 PLS-200L

    • USC干式超声波除尘设备 高压旋风除尘PLS-X系列介绍

      产品名称:USC干式超声波除尘设备 高压旋风除尘PLS-X系列介绍
      1)能有效去除大于3μm的颗粒
      2)不需要高纯水和化学药剂等,同时不需要后续烘干工艺
      3)设备维护简单,只需进行简单的清洗和更换
      4)沿喷嘴线性均衡的超声波使得工件横向清洗性能保持一致
      5)非接触式的清洗方式避免损坏工
      6)闭环系统不会破坏生产车间(洁净室)的气流平衡

    • 小型日皮视频APP在线看黄机 实验型日皮视频APP在线看黄机 半导体活化刻蚀 pr5L

      产品名称:小型日皮视频APP在线看黄机 实验型日皮视频APP在线看黄机 半导体活化刻蚀 pr5L
      ‌实验室日皮视频APP在线看黄机‌是一种利用等离子体技术进行表面处理的设备,广泛应用于科研和工业制造领域。

    • 真空日皮视频APP在线看黄机 日皮视频APP下载安装机 表面处理改性PM-20LN

      产品名称:真空日皮视频APP在线看黄机 日皮视频APP下载安装机 表面处理改性PM-20LN
      真空日皮视频APP在线看黄机作为一种高效、无介质的表面处理设备,具有广泛的应用前景。其工作原理基于等离子体在真空环境中产生的化学反应和物理效应,具有高效清洗、无介质清洗、可选择性清洗、表面改性和自动化操作等优势。

    • 实验型日皮视频APP在线看黄机 小型真空等离子处理设备PLAUX-PR-10L

      产品名称:实验型日皮视频APP在线看黄机 小型真空等离子处理设备PLAUX-PR-10L

      ‌高效彻底‌:能够深入微纳米级孔隙中,彻底清除难以触及的污染物。

      ‌环保节能‌:无需使用化学溶剂,减少废水废气排放,符合绿色生产要求,且能耗低。

      ‌广泛适用‌:适用于多种材料表面,包括金属、陶瓷、玻璃、塑料等,不会对材料性能产生负面影响。

      ‌工艺可控‌:通过调整工作气体种类、压力、功率等参数,可精确控制清洗过程‌。


    日皮视频免费看软件动态

    最新资讯文章

    网站地图